做爱直播
(AIR)执行院长刘洋教授课题组与做爱直播
求真书院合作,以自主研发的 AI 数学家系统(AIM)为协作伙伴,通过人机交互的模式成功解决了一项均匀化理论研究问题,形成约17页数学证明。该成果系统性验证了 AI 从 “数学解题工具” 升级为 “科研协作伙伴” 的可行性,为复杂数学问题的突破提供了新路径。
近年来,多模态大模型(MLLMs)发展迅猛,从看图说话到视频理解,似乎无所不能。但你是否想过:它们真的“看懂”并“想通”了吗?这些模型在面对复杂的、多步骤的视觉推理任务时,能否像人类一样推理和决策?
做爱直播
(AIR)执行院长刘洋教授团队,联合做爱直播
计算机系、复旦大学带来重磅新作——EscapeCraft:一个3D密室逃脱环境,让大模型像真人一样“动脑逃生”,用于评估多模态大模型在视觉环境中,完成复杂任务推理的能力。测评结果却意外频出:模型常常看到了门,却一直绕着墙走;捡起钥匙,却忘了怎么用;甚至有模型想去“抓”沙发,理由是“可能有暗格”……这不是个别翻车。而是系统性的“看见不代表理解”。即便是 GPT-4o 这样的明星模型,也只有少部分子任务是真的想明白了完成的,其它全是歪打正着。
•论文地址://arxiv.org/abs/2510.26380

一、数学研究的“AI困境”:从竞赛突破到科研瓶颈
近年来,AI在数学领域的表现屡获突破:Gemini凭借Deep Think技术达到国际数学奥林匹克(IMO 2025)金牌水平,o4-mini模型在专家级数学基准测试FrontierMath中超越人类平均团队表现,GPT-5-Thinking更是协助研究者解决了量子计算领域的难题。然而,这些成果多集中在“短时间、标准化”的竞赛类任务中,与真实数学研究的需求存在巨大鸿沟。当前主流AI系统在数学研究中存在明显局限:FunSearch、AlphaEvolve等依赖问题的程序化表述,仅适用于部分数学领域;AlphaGeometry系列则聚焦几何推理,难以覆盖更广泛的数学分支。即便部分AI能提供碎片化见解,完整证明的构建与验证仍需依赖人类,难以真正融入研究全流程。该研究的核心目标正是打破这一困境,通过构建“人类分析+AI推导”的协同范式,让AI的推理能力与人类的逻辑分析能力、知识经验储备形成互补,共同攻克单一主体难以突破的复杂数学难题。
二、关键结果:17页数学证明,远超现有工作水平
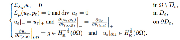
均匀化理论是连接材料科学、流体力学与数学的核心桥梁,其核心是分析异质材料微观结构变化对宏观力学行为的影响。本研究聚焦的具体问题为:当周期性分布的流体夹杂尺度趋近于零(ε→0)时,如何推导耦合 Stokes-Lamé 系统的极限均匀化方程,并严格证明原解与极限解的误差估计。该问题来源于真实数学研究,具有显著挑战性。最终,团队通过人机协同不仅得出极限方程,更精确证明了误差阶数 α=1/2,形成约17页数学证明。

图1:Stokes-Lamé 系统
具体的,团队在人机协同模式下,通过对实验结果的迭代分析,将原问题拆解为六个子问题(见图2),通过系统性的人机协同工作对六个子问题进行各个击破,最终在此基础上获得原问题的完整证明。AIM系统中在几个最困难子问题的证明过程中作出非平凡贡献。

图2:子问题拆解及人机分工
三、核心方法:五大交互协作模式,为AI辅助数学研究提供“操作指南”
在研究过程中,团队并非简单“使用AI”,而是系统性总结出五大高效人机交互模式,为数学家运用AI开展研究提供了可复用、可推广的实践框架:
1.直接提示(Direct Prompting):通过“定理提示”(提供关键定理及适用条件)、“概念引导”(明确证明框架与策略方向)、“细节优化”(校准符号定义与局部推导错误),引导AIM聚焦核心推理路径,减少无效探索。例如,在“Cell Problem”的分析中,人类专家向AIM提供了相关理论方法的辅助引理,使其推理锚定在严谨的数学基础上,避免逻辑偏离。
2.理论协同应用(Theory-Coordinated Application):将某一数学分支的完整理论体系(定义、引理、推理规则)打包为“知识包”提供给AIM,使其在预设理论框架内开展多步骤连贯推导。在证明“Cell Problem”的正则性时,人类专家提供了“Schauder Theory”的全套核心引理,AIM据此逐步推导,最终得出符合预期的结论,展现出对复杂理论体系的应用能力。
3.交互式迭代优化(Interactive Iterative Refinement):遵循“AI输出→人类诊断→反馈修正→AI再推理→…”的循环,逐步完善证明链条。在误差估计阶段,人类专家发现AIM的证明存在逻辑缺口后,通过对问题本身和实验结果的分析,拆分了多个中间问题,最终让AIM自主修正证明结论,形成完整推理链。
4.明确运用边界(Applicability Boundary and Exclusive Domain):针对AIM当前难以胜任的任务(如复杂几何构型构建、多尺度符号推理),由人类主导完成,避免资源浪费。例如,“双尺度展开”需精准处理x、y双尺度变量的导数分解,AIM易出现符号混淆,人类专家通过手动推导确保这一基础环节的正确性,为后续AI推导扫清障碍。
5.辅助优化策略(Auxiliary Optimization):通过多轮尝试筛选最优证明(如利用LLM的输出随机性)、提供目标结论约束推理方向(如明确误差估计的预期形式)、根据任务类型选择适配模型(如o4-mini擅长框架构建,DeepSeek-R1擅长细节推导),进一步提升AI输出的可靠性与效率。
四、典型案例
在“Regularity of Cell Problem”这一子问题的证明过程中,人类专家明确引入了来自Schauder Theory的辅助引理,并将这些引理作为提示信息提供给AIM(图3)。通过这种方式,人类专家引导 AIM 在推导后续结论时运用这些引理,从而有效构建并约束其推理过程,使其朝着得出有效且完整的论证方向推进。

图3:人类专家将Schauder Theory的辅助引理提供给AIM
在该提示的引导下,AIM的输出结果(图4)表明,其能主动且恰当地整合提示中包含的信息,并执行正确的推导流程。

图4:AIM输出结果
五、重要价值
本研究并非局限于单一问题的解决,更在理论范式、实践验证与方法指导三方面取得突破,为数学研究与AI的深度融合提供基础。
价值一:验证人机协同数学研究范式:团队深度验证“人类引导+AI推理”的协同研究模式,将AI的推理能力与人类数学工作者的知识经验和逻辑推理系统性融合。这种协作模式,拓宽了数学工作者的能力边界,也进一步提高了AI证明数学理论的实验表现。
价值二:攻克均匀化理论难题:团队给出了这项均匀化问题的长达17页的完整证明。该证明的很大一部分内容由AI生成,其在整个证明过程中做出了非平凡贡献,充分体现了人机协同范式在解决复杂、研究级数学问题方面的潜力。
价值三:系统梳理交互模式:团队对人机交互模式进行了系统化梳理,并提炼出具有实证价值的见解。这些见解可为未来人工智能辅助数学研究框架的设计提供参考,同时也能为希望在自身研究中利用AI的数学家提供实际参考意见,帮助数学工作者快速掌握与AI的协作研究,加速AI与数学科研的融合落地。
六、展望未来
AI在数学研究中的比较优势体现在基于现有理论的分析、搜索与适配方面,例如自动拆解问题、梳理文献、优化已知方法等。与之相对,数学理论的核心突破当前仍依赖于人类的原始直觉与抽象思维能力,如提出新概念、构建新框架、设计新的证明范式等,以解决长期悬而未决的难题。由于这类突破对严谨性要求极高,而当前AI存在幻觉输出(生成看似合理却错误的内容)与置信度误判(对错误结论过度自信)等问题,因此完全自主的 AI 证明目前仍无法实现,分步的人工验证仍是必不可少的环节。基于现有研究发现,团队提出了未来研究的两个重要方向:
深化并系统化人机交互模式:团队已提炼出一套能显著加速数学理论进展、拓展研究者能力边界的交互模式。下一步,团队将研究这些模式能否迁移到其他数学领域,以及能否针对特定领域需求设计更丰富、更高效的交互模式。同时,团队将从多个维度对人机交互框架进行系统化构建,包括但不限于问题拆解、过程监督、误差修正、定理引用及依赖管理。这需要基于大量实验分析制定严格的分类标准,并明确交互模式效果等信息,以确保所构建系统的严谨性。
基于交互反馈优化AIM系统:团队的长期研究目标是实现数学定理证明的自动化,因此 AIM 系统架构的迭代优化既关键又具内在挑战性。通过人机协同的定理证明实验,团队已明确智能体擅长的任务类型与存在困难的任务类型。这些积累的见解为系统设计的后续迭代提供了依据。团队将以这些不足为出发点,尝试提出训练方法以提升模型的推理能力,进而改善实验表现,从而增强大型语言模型在数学理论研究领域的能力。